Differential of Antioxidant Ability, CD4+T Cells Count and Viral Load in HIV Infected Patients on cART in Yaounde, Cameroon
Abstract
Background
Decreased antioxidant ability is one of the worsening conditions in AIDS.We aimed to evaluate total antioxidant ability among others, and their variation in HIV infected patients following their CD4+T cells count and viral load, in a context of new ART scarcity in most LMICs.
Material and Methods
We conducted a cross sectional study on 167 individuals (76 controls, 33 treatments naïve and 58 HIV-1 infected patients on ART). We assessed their plasma total antioxidant ability (FRAP), malondialdehyde (MDA) and thiol (SH) groups using standard spectrophotometric methods, then we calculated lipid peroxidation index (LPI). Statistical analysis was performed using GraphPad Prism 6. Data were analyzed by two-tailed unpaired t-test for two groups’ comparison and ANOVA for more than two groups. Pearson correlation between CD4+T cells count, viral load and the above markers was determined; P ≤ 0.05 was considered statistically significant.
Results
The following controls/naïve/treated subjects’ values for FRAP(mM) (1.907±0.074/1.77±0.05/1.695±0.03); MDA(μΜ) (0.781±0.081/1.115±0.118/ 1.342±0.109); SH (μΜ) (2.747±0.130/1.582±0.197/1.498 ±0.140)and LPI (0.43±0.61/ 0.61±0.7/2.59±0.83) were all obtained with P ≤ 0.05. The FRAP increased only with 3TC+TDF+EFV and 3TC+ABC+NVP cART while MDA decrease significantly with the later(p=0.027). MDA and LPI significantly increased in heavily treated patients with p<0.0014 and p=0.0001 respectively. overall, the patients showed an increase of viral loads following a decrease of CD4+T cells (r= -0.803, p=0.016) but 3TC+TDF+EFV seem to better manage the both. The only significant correlation was established between SH groups and CD4+Tcells count (r=0.447; p=0.0006);
Conclusion
Our study showed that thiol groups may be protective againstCD4+Tcells count depletion and that the cART 3TC+TDF+EFV, 3TC+ABC+NVP may be helpful in fighting against free radical generation and particularly 3TC+TDF+EFV as controlling CD4+Tcells count and viral load in long term treated patients. The study particularly showed the implication of cART in increasing lipid peroxidation index following the treatment duration in heavily treated patients, which aggravated their conditions in an area where drug options are limited, calling for new drugs availability and personalized medicine.
Author Contributions
Academic Editor: Tahziba Hussain, ICMR-Regional Medical Research Centre, Bhubaneswar, Odisha, India
Checked for plagiarism: Yes
Review by: Single-blind
Copyright © 2020 Georges Teto, et al.
This is an open-access article distributed under the terms of the Creative Commons Attribution License, which permits unrestricted use, distribution, and reproduction in any medium, provided the original author and source are credited.
Competing interests
The authors have declared that no competing interests exist.
Citation:
Introduction
About 36.9 million of people were currently living with HIV worldwide as of 2017, explained in part by a faster deaths decline compared to new HIV infections, with antiretroviral scale up (90-90-90 targets). Sub-Saharan Africa is home to 53% of the world’s people living with HIV1. 21.7 million People are now on treatment all around the world, a net increase of 2.3 million people since the end of 2016. Cameroon, Cote d’Ivoire and Nigeria together accounted for approximately 71% of new HIV infections in Western and Central Africa in 20171. In Cameroon, 51% of Adults aged 15 years and older, 25% of children aged 0 to 14 years old, are on treatment1, and many remained on same antiretroviral therapy (ART) for years, strengthening the necessity for all these patients treated or not, to continue to be well managed in order to reduce HIV Mortality and morbidity.
Human plasma is endowed with an array of antioxidants 2, 3, acting as a coordinated and balanced system to protect tissues and body fluids from damage by reactive oxidants whether produced physiologically or as a response to inflammation, infection or disease. Thus, the protective effects of plasma may result from a concerted action of the numerous different antioxidants present in it 4, 5. Under normal circumstances, the reactive oxidants produced in the course of metabolism 6, 7, 8 are scavenged or otherwise eliminated by the natural antioxidant system9. Reactive oxygen species (ROS) are free radicals of oxygen intermediates with high reactive capacity towards various biological molecules and the potential to cause significant biological damage 10. Detrimental effects caused by reactive species occur as a consequence of an imbalance between the formation and inactivation of these species. Oxidative stress can be significant especially if individual is exposed to environmental challenges, for instance, infection. ROS are involved in HIV pathogenesis and disease progression 11. HIV induces the generation of ROS through the regulatory protein Tat and the envelope glycoprotein gp120 12, 13 and the oxidative stress induced, increases viral replication and a variety of biochemical and physiologic changes, and contributes to CD4+ T lymphocyte depletion by increasing their rate of apoptosis10, 14. Increased production of ROS during HIV-1 infection has been reported in some studies involving ART, indicating an increase of oxidative stress in response to treatment 15, 16, 17, 18 whereas others described it to be more pronounced in naïve patients19, 20; but in Cameroun, a country located in Sub Saharan Africa, very little is known about, especially those who are heavily treated, and of our knowledge, no study evaluating this and the total antioxidant status in HIV infected patients on cART has been done. The overall antioxidant capacity may give more relevant biological information compared to that obtained by the measurement of individual parameters, as it considers the cumulative effect of all antioxidants present in plasma and body fluids 21 and the effect of treatment may give an overview on the variation of oxidative stress markers. Therefore, we aimed to investigate some oxidative stress markers, the overall antioxidant ability using FRAP assay in HIV-1 infected patients and the effect of treatment on their variation, and then to find out their correlation to CD4+ T cells count and viral load, for the patients’ better management.
Materials and Methods
Study Design, Population and Ethical Considerations
We conducted a cross sectional study on 167 individuals (76 matching HIV-1 negative controls, 33 HIV-1 infected treatments naïve and 58 HIV-1 infected patients on different combination therapy, all enrolled as an ongoing project on oxidative stress. Participants were from the Day Hospital of Yaoundé Central Hospital and The Yaoundé University Teaching Hospital where the controls were recruited. This study was performed in accordance with guidelines of the Helsinki Declaration and was approved by the Cameroon National Ethics Committee, written informed consent was obtained from all participants and data were processed using unique identifiers to ensure confidentiality. (1) for control subjects, exclusion criteria were pregnancy, serological evidence of hepatitis B/C, diabetes, hypertension, current intake of antioxidant supplementation, alcohol, tobacco, malaria and other known parasitic infection and inclusion criteria were HIV negative with none of the above conditions, and be able to read and sign an informed consent; (2) for patients, the exclusion criteria were the same as for control subjects; in addition, HIV-positivity was confirmed. After informed consent, a questionnaire, including socio-demographic information, laboratory data (e.g, diagnosed with HIV/AIDS or without, CD4+T cells counts, viral loads and diagnosed HBV and HCV negative) and treatment history (naïve or on treatment, treatment combination, treatment duration), was provided to each study participant and completed by the clinician
HIV Serology, CD4+T Cell Counts and Viral Load Quantification
Sample collection and analyses were performed in the Hematology laboratory of the Yaoundé University Teaching Hospital, Cameroon. Venous blood samples, taken at a single time point, were collected and stored at room temperature in the Hematology laboratory, and analyses performed within 6 hours of blood collection. The HIV status of each participant was determined using the Alere Determine HIV-1/2 antigen/antibodies Combo (Jouy-En-Josas, France), and the Murex HIV antigen/antibody Combination ELISA
(Abbott Diagnostics, Chicago, IL, USA), according to the manufacturer’s instructions. Each batch of reagents was quality controlled with known samples before used. A participant was considered HIV-positive if he/she tested positive for the two tests, HIV-negative if non-reactive for both tests and discordant if positive for only one test.
No discordant result was observed in this study. CD4+ T-lymphocyte count was quantified by flow cytometry, using a Fluorescence Activated Cell Sorting (FACS) Count Instrumentation System, BD FACS Count, according to the manufacturer’s instructions (BD Biosciences, San Jose, CA, USA). The FACS instrument was calibrated and quality control tested before each experiment. HIV RNA copies number in each plasma sample was quantified by reverse transcription polymerase chain reaction (RT-PCR), using ABBOTT m2000rt (Abbott GmbH & Co. KG, Wiesbaden, Germany), according to the manufacturer’s protocol. The ABBOTT m2000rt detection limit was 40 viral copies/ml. Plasma samples were stored at −70 °C or lower.
Biochemical Analyses
A plasma aliquot obtained from Ethylene Diamine Tetra Acetate (EDTA) peripheral blood tube was directly used for oxidative stress markers assessment. Plasma was used to assess total antioxidant ability (FRAP) using Benzie and Strain method(1996) 22, malondialdehyde (MDA) using the method described by Lefevre (1998)23, and thiol groups (SH) using Ellman method (1959)24. Lipid peroxidation indices (LPI) was determined using MDA level over FRAP level ratio 25.
ART Regimen
For those on treatment, antiretroviral therapy used was of first or second line based regimen consisting of 2NRTIs (lamivudine-3TC plus tenofovir-TDF or zidovudine or abacavir-ABC) plus 1NNRTI (efavirenz-EFV or nevirapine-NVP) for first-line therapy and 2 NRTIs (lamivudine-3TC plus zidovudine-AZT) plus one protease inhibitor (PI) (lopinavir boosted ritonavir-LPV/r) or 1NRTIs (lamivudine-3TC) plus one protease inhibitor (lopinavir boosted ritonavir-LPV/r) for Second-line therapy.
Statistical Analysis
All statistical analysis was performed using GraphPad Prism 6 (GraphPad Software, LaJolla, CA, USA). Data were analyzed by two-tailed unpaired t-test for two groups’ comparison and ANOVA (ordinary or non-parametric if the data did not follow the Gaussian distribution) when more than two groups were to compare; The Pearson correlation was used to find out the correlation between the studied parameters. P-value ≤ 0.05 was considered statistically significant.
Results
Descriptive Characteristics of Patients Included in the Study
(Table 1)a and 1b summarized the characteristics of 167 participants eligible, including 82 males and 85 females. Seventy-six were controls recruited among blood donors and 91 were HIV infected (30 males and 61 females); among HIV infected participants 33 were naïve and 58 on ART. About 63.7% of patients were on first-line treatment and only 20% were on second line ART. All of them were submitted to the assessment of oxidative stress markers. Table 1 a and 1b.
Table 1 a. Descriptive Characteristics of patients included in the study| Characteristics | Male | Female | p-value |
| Overall participants (n) | 82 | 85 | |
| Control (n) | 52 | 24 | |
| Age range (years) | 19-50 | 21-47 | |
| Mean age | 30.88± 1.195 | 32.38±1.464 | 0.067 |
| Distribution of patients relatively to HIV treatment | |||
| Naïve (n) | 12 | 21 | |
| Age range (years) | 28-62 | 21-54 | |
| Mean age | 42±3.224 | 33±2.286 | 0.042 |
| CD4 cells range | 122-794 | 5-615 | |
| Mean CD4 cell count (cell/m³) | 337.3±62.63 | 258.3±37.51 | 403 |
| Viral load range (log copies/m) | 1.5-7.2 | 1.4-7.6 | |
| Mean viral load (log copies/ml) | 4.41±1.1 | 4.06±1.40 | 0.23 |
| Treated (n) | 18 | 40 | |
| Age range (years) | 29-59 | 20-58 | |
| Mean age | 40.11±2.298 | 34.18±1.298 | 0.0286 |
| Treatment duration range (years) | 1-7 | 1-7.3 | |
| Mean treatment duration (years) | 3.300±1.69 | 3.763±1.50 | 0.311 |
| CD4 cells range | 2-496 | 1-559 | |
| Mean CD4 cell count (cell/m³) | 152.2±29.17 | 153.1±21.88 | 0.99 |
| Viral load range (log copies/m) | 2.1-9 | 1.3-7.8 | |
| Mean viral load (log copies/ml) | 6.5±1.4 | 6.33±1.3 | 0.381 |
| Regimens (%) | |||
| 3TC+ABC+NVP | 27.77 | 32.5 | |
| 3TC+TDF+EFV | 27.77 | 25 | |
| AZT+3TC+EFV | 33.33 | 22.5 | |
| AZT+3TC+LPV/r | 5.55 | 5 | |
| 3TC+ LPV/r | 5.55 | 15 |
| Clinical stage | A1 | A2 | A3 | B1 | B2 | B3 | C1 | C2 | C3 |
|---|---|---|---|---|---|---|---|---|---|
| Naïve (%) | 2(6) | 4(12.1) | 4(12.1) | 8(24.2) | 9(27.2) | 4(12.1) | 1(3) | 1(3) | |
| Treated (%) | / | / | / | / | 1(1.7) | 38(65.5) | 3(5.1) | / | 16(27.5) |
| Total (%) | 2(2.1) | 4(4.3) | 4(4.3) | 9(9.8) | 47(51.6) | 7(7.6) | 1(1.09) | 17(18.6) | |
| P-value | 0.471 | ||||||||
Biochemical Analyses
Following the quantification of thiols groups (SH), plasma thiols did not differ between HIV infected naïve and treated patients (1.582±0.197 μM and 1.498±0.140 μM respectively, P = 0.721) but were significantly lower (P<0 .0001) in both groups compared to controls (2.747±0.130 μM) (Table 2). Plasma malondialdehyde (MDA) significantly increased (P = 0.0014) in treated patients (1.342±0.109 μM) and in naïve (1.115±0.118 μM) as compared to controls (0.781±0.081 μM). It showed no difference between naïve and treated patients (P = 0.185).
Table 2. Variation of SH groups (μM), MDA (μM), FRAP (mM) concentrations and MDA/FRAP index in control, naïve and treated patients.| Biochemical parameters | Control | Naive | Treated | P-Value |
| SH (μM) | 2.747±0.130 | 1.582±0.197 | 1.498±0.140 | < 0 .0001 |
| P = 0.721 | ||||
| MDA (μM) | 0.781±0.081 | 1.115±0.118 | 1.342±0.109 | 0.0014 |
| P = 0.185 | ||||
| FRAP (mM) | 1.907±0.007 | 1.774±0.05 | 1.695±0.03 | 0.017 |
| P = 0.225 | ||||
| MDA/FRAP | 0.43±0.61 | 0.61±0.70 | 2.59±0.83 | < 0.0001 |
| P < 0.0001 | ||||
Plasma total antioxidant ability (FRAP) increased in controls (1.907±0.007 mM) but decreased in naive (1.774±0.05 mM) and treated patients (1.695±0.03 mM). It showed no difference between naïve and treated patients (P = 0.225). The decrease was statistically significant in treated patients as compared to controls (P = 0.017). Lipid peroxidation index (MDA/FRAP) significantly increased in naïve (0.61±0.7) and treated patients (2.59±0.83) as compared to controls (0.43±0.61) (p<0.0001). It showed a statistically significant difference in naïve as compare to treated patients (P< 0.0001) (Table 2).
Comparing SH groups, MDA and FRAP concentrations in 3TC+TDF+EFV cART, we found a significant increase of FRAP and a decrease of SH groups (P=0.006) while there was an increase of FRAP following a decrease of MDA with 3TC+ABC+NVP (p=0.027) (Figure 1 a and Figure 1 b). Others cART did not show any statistically significant impact on the above cited markers, even though globally, there was an increase of MDA following a decrease of FRAP and SH groups in treated patients as compared to controls (Figure 1 a, Figure 1 b and Figure 1 c).
Figure 1.Variation of FRAP (mM), SH groups (μM) and MDA (μM) concentrations in patients’ plasma for each treatment combination (a-3TC+TDF+EFV, b-3TC+ABC+NVP, c-AZT+3TC+EFV, d-AZT+3TC+LPV/r, e-3TC+LPV/r) in HIV-1 infected patients; * P-value ≤ 0.05.
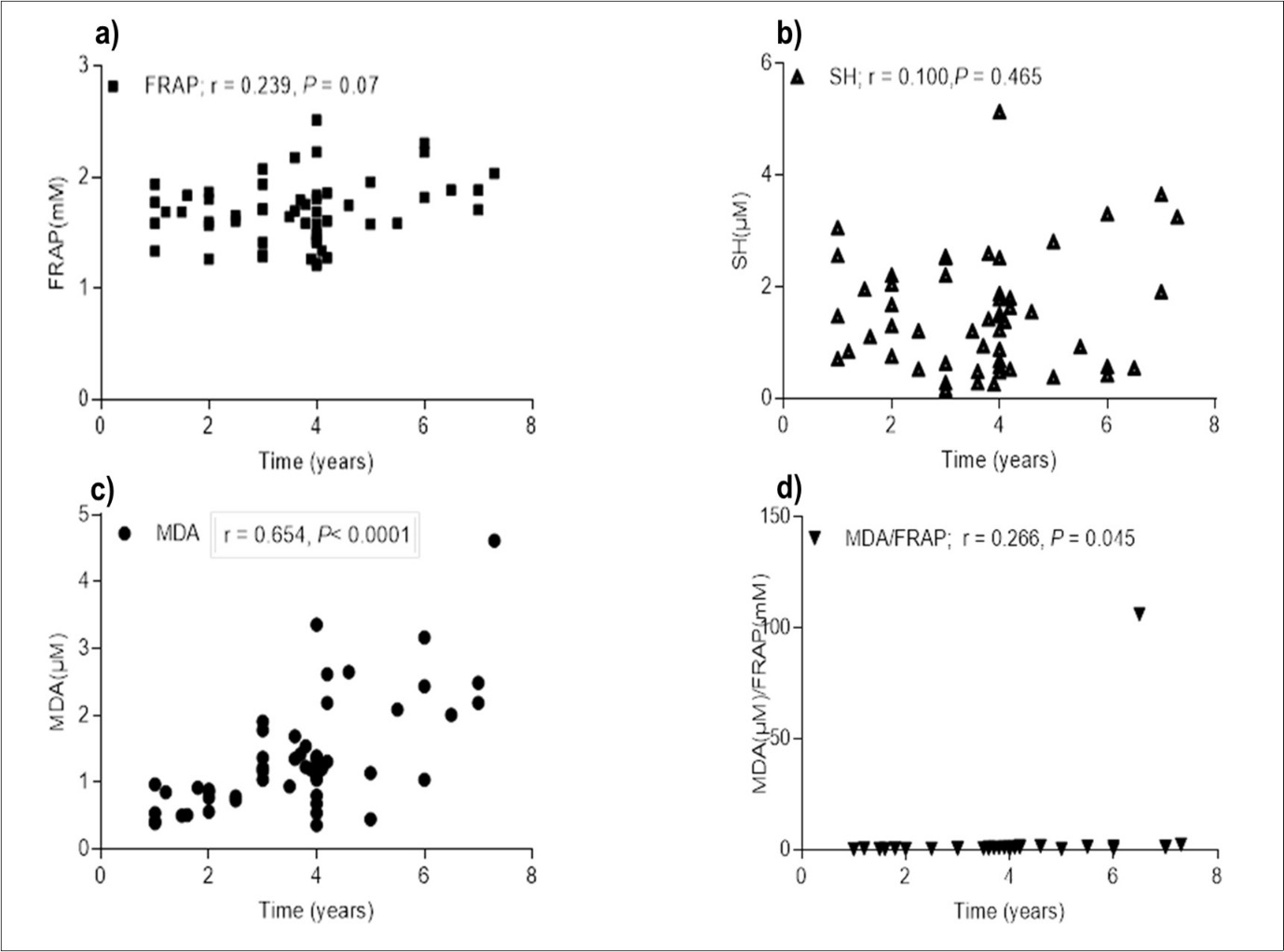
An analysis of the above studied parameters’ variation according to the number of years of treatment, showed that MDA and the lipid peroxidation index MDA/FRAP significantly increased (r=0.654, p<0.0001 and r=0.266, p=0.045 respectively) with the treatment duration while the total antioxidant ability (FRAP) and the thiol groups, did not show any statistically significant variation (r=0.239, p=0.07 and r=0.100, p=0.465 respectively) over time (Figure 2 a, Figure 2 b, Figure 2 c, Figure 2 d).
Figure 2.Variation of FRAP (mM) (a), SH groups (μM) (b), MDA (μM) (c) concentrations and MDA/FRAP (d) index in patients’ plasma according to treatment duration; * P-value ≤ 0.05.
Immuno-Virological Status of Treated Patients.
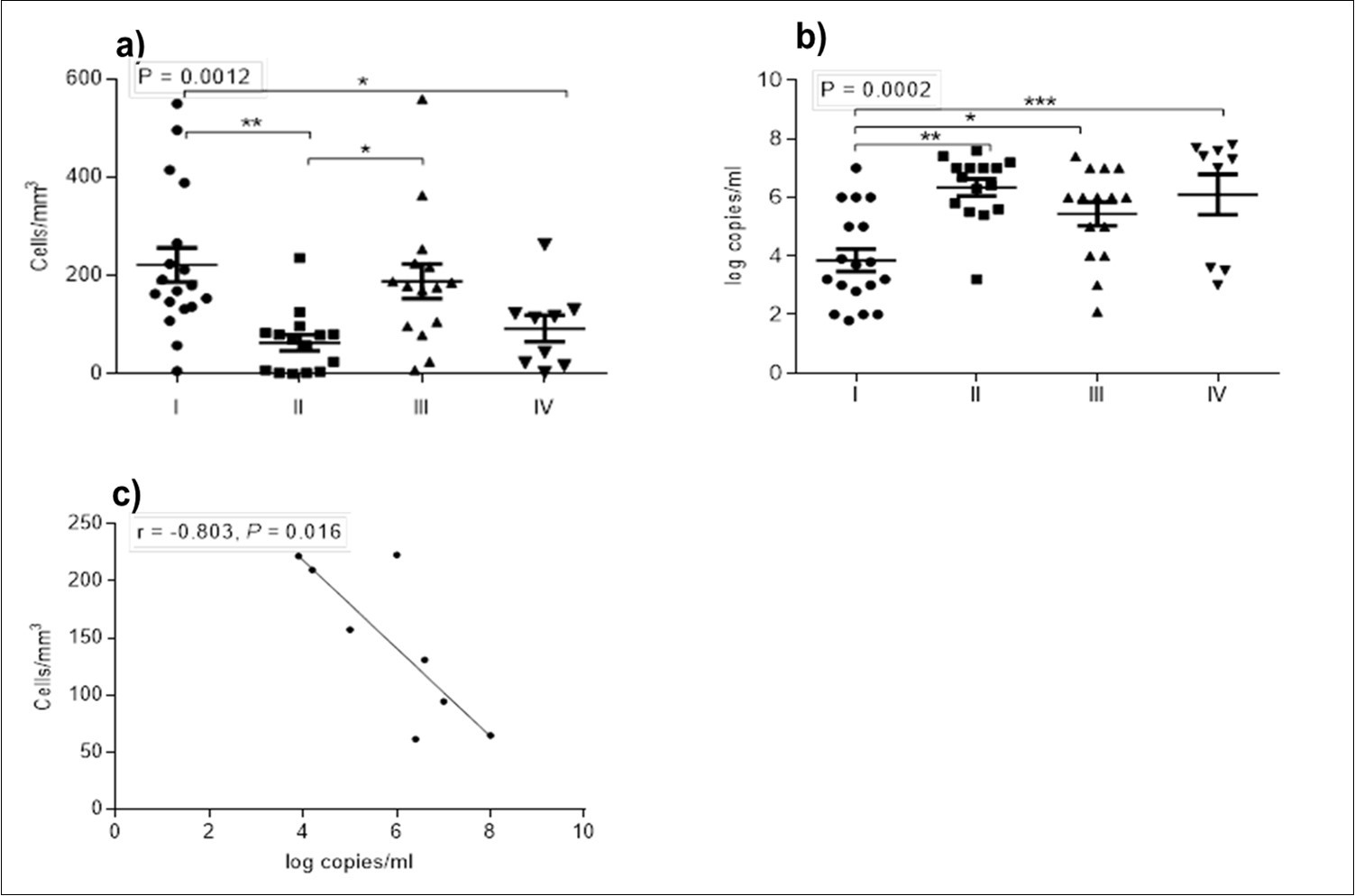
CD4+T cells count (cells/m³) was significantly higher in patients on 3TC+TDF+EFV as compared to those on 3TC+ABC+NVP and 3TC+LPV/r, while it was lower for patients on 3TC+ABC+NVP as compared to those on AZT+3TC+EFV (p = 0.0012). The mean CD4+T cell count was around 200 cells/m³ or less for patients on different cART (Figure 3-a). The viral load (log copies/ml) was significantly lower for patients on 3TC+TDF+EFV (4logcopies/ml) as compared to those on 3TC+ABC+NVP, AZT+3TC+EFV and 3TC+LPV/r (6logcopies/ml) (p=0.0002) even though all these viral loads remained higher than 1000 copies/ml, the WHO’s viral load threshold for a successful treatment (Figure 3 b) outcome in low and middle income countries. Overall, these patients showed an increase of viral loads following a significant decrease of CD4+T cells count as the Pearson correlation highlighted (r = -0.803, p = 0.016) (Figure 3 c). No statistically significant correlation was found between CD4+T cells count and the studied markers in naïve patients but in treated patients, the only significant correlation was between the thiol groups and CD4+T cells count (r=0.447; p=0.0006). Also was not found any statistically significant correlation between viral loads and the stress markers but a borderline correlation between it and the lipid peroxidation index, MDA/FRAP (r=0.249; p=0.06) even though not significant.
Figure 3.Quantification of patients’ CD4+T cells count (Cells/mm3) (a), viral loads (log copies/ml) (b) for each treatment combination (I = 3TC+TDF+EFV, II = 3TC+ABC+NVP, III = AZT+3TC+EFV, IV = 3TC+LPV/r) and the correlation between CD4+T cells count and viral loads in treated patients (c), * P-value ≤ 0.05.
Discussion
The descriptive characteristics of patients showed that there were more infected females than males, a phenomenon explained by socio-economic events and particularly women biological vulnerability27, 28. Following the WHO approach for HIV/AIDS treatment in Low and Middle Income Countries (LMICs)29, 30, two third of subjects (63.7%) were on first line regimen, very few were on second line regimen; most of them have been on the same cART for several years (Table 1a) and almost one third of patients were naïve (36.2%); this could be due to limited ART options for LMICs and would call for more drugs options to reduce HIV mortality and morbidity, and to consolidate the WHO’s “Treat all” recommandations 31 in our country where only about 51% of adults aged 15 and older are on treatment 1 .
Following the assessment of oxidative stress markers namely malondialdehyde (MDA), thiol groups (SH), total antioxidant ability (FRAP) and lipid peroxidation index (MDA/FRAP); SH and FRAP significantly decreased in naïve and treated patients’plasma as compared to controls (p<0.0001 and p=0.017 respectively) while plasma MDA significantly increased in treated patients’ plasma as compared to controls (p=0.0014) (Table 2). This shows the implication of the virus in the initiation and aggravation of oxidative stress. Lipid peroxidation significantly increased in treated patients as compared to naïve (P < 0.0001) (Table 2), showing the treatment as an increasing factor, as shown by previous studies 17, 25, 32, 33. Similar results were found by Ngondi et al but their study did not assess the plasma total antioxidant ability and the lipid peroxidation index, they did not also consider the same drugs combinations included in our study 18. Contrary to our findings, some studies have reported higher level of oxidative stress markers in naïve patients as compared to those on cART 19, 20, may be because in some circumstances, and perhaps due to cART’s influence or the host genetics, HIV is a faster generator of free radicals than drugs.
As urate and α-tocopherol plasma sulfhydryl groups serve as antioxidants and are consumed by trapping the major proportion of the peroxyl radicals generated3, 34, low thiol levels affect HIV progression both before and after AIDS diagnosis and may be magnified following treatment34, this was observed in our study. Glutathione, a thiol tripeptide has been shown to decrease as HIV progresses; its deficiency contribute to oxidative stress and may play a key role in HIV pathogenesis35. Consistent with these results, it has been shown that antioxidant status progressively depleted in HIV infected persons as the disease progressed from asymptomatic state to AIDS36. This antioxidant deficiency in HIV-1 seropositive populations is probably due to depletion of antioxidant molecules consumed in the process of protecting cells against ROS37.
The effect of different cARTs on the above studied markers showed that 3TC+TDF+EFV significantly increases the plasma FRAP concentration and decreases plasma SH groups as well as 3TC+ABC+NVP also increases the plasma FRAP concentration and decreases plasma MDA concentration (p=0.006 and p=0.027 respectively) (Figure 1a and 1b); these two drugs combinations as compared to the others (Figure 1c, 1d, 1e) may be helpful in fighting against antioxidative imbalance38, 39, even though gobally, our study showed that all the patients were failing treatment and that the latter is an oxidative stress increasng factor, probably due to protease inhibitors40, 41, 42 or AZT 40.
On another part, the increase of FRAP may be due to some endogenous antioxidants (enzymes) that may increase their activity in response to an increase production of free radicals 43, 44.
The study of the effect of heavy treatment on the variation of MDA, FRAP, SH concentrations and MDA/FRAP index, showed that plasma MDA concentration and lipid peroxidation index significantly increase with the number of years of treatment (r = 0.654, p = 0.0001 and r = 0.266, p = 0.045 respectively) (Figure 1c and 2d); the unchanged treatment combination during several years for patients in advanced stage of desease (Table 1 b) and who are failing treatment as per WHO recommendations (viral load > 1000 copies/ml) 30, 45 may explain the worsening oxidative conditions, since as the virus replicates, there is an increased free radicals generation46, leading to an increased lipid peroxidation, explained by the increasing MDA concentration25.
Immuno-virologic analysis of treated patients showed that 3TC+TDF+EFV significantly increases CD4+Tcells count as compared to 3TC+ABC+NVP and 3TC+LPV/r ; furthermore, CD4+Tcells count was lower in 3TC+ABC+NVP treated patients as compared to those on AZT+3TC+EFV (P = 0.0012) (Figure 1a). The viral load was significantly lower in 3TC+TDF+EFV treated patients as compared to those on 3TC+ABC+NVP, AZT+3TC+EFV and 3TC+PV/r (P = 0.0002) (Figure 1b), even though all these patients were probably failing treatment 47 as established by the positive and significant Pearson correlation between CD4+Tcells count and viral load (r = -0.803, p=0.016). Several studies demonstrates the usefulness of ART as it increases CD4+Tcells count and stabilizes the immune status48 while reducing the viral load 49 when the patients are well managed; 3TC+TDF+EFV cART could be useful in such conditions50, 51. The only significant correlation between the oxidative stress parameters and CD4+Tcells count or viral load, was the positive Pearson correlation between thiol groups and CD4+Tcells count (r=0.447; p=0.0006); thiol groups may be useful in protecting CD4+Tcells count against depletion but also, disulfide bonds are used for HIV to enter into CD4+Tcells through the glycoprotein gp 120; so as the thiol groups decrease, so are the CD4+Tcells 52, 53, 54, 55, 56.
Conclusion
Our study showed that thiol groups may be protective againstCD4+Tcells count depletion or may explain this depletion due to their lack, and that the cART 3TC+TDF+EFV, 3TC+ABC+NVP may be helpful in fighting against free radical generation and particularly 3TC+TDF+EFV as controlling CD4+Tcells count and viral load in long term treated patients. The study particularly showed the implication of cART in increasing lipid peroxidation index following the treatment duration in heavily treated patients, which aggravated their conditions. Here we did not follow the patients and did not assess antioxidant enzymes activities, vitamins or minerals that would have brought an adding value to our study. A follow-up study including more patients, new drugs (if available) and assessing also the role of some HIV-genes in the generation of free radicals could help for a better management of HIV infected patients who are in need of new drugs in our context and for who personalized medicine is more than ever needed.
Declarations
Ethics Approval and Consent to Participate
This study was performed in accordance with guidelines of the Helsinki Declaration and was approved by the Cameroon National Ethics Committee, written informed consent was obtained from all participants and data were processed using unique identifiers to ensure confidentiality.
Consent for Publication
All the authors gave their consent for this work to be published.
Availability of Data and Material
The data used to support the findings of this study are available from the corresponding author upon request.
Funding
Not applicable.
Author Contributions
GT conceived and designed the study, carried out experiments, made figures and tables, did the analysis and interpretations, and participated in the writing of the manuscript. JKS carried out subject recruitment, collected demographic data from participating human subjects, participated in specimen collection, helped coordinate the clinical studies, did experiments, made tables, helped conceiving the study, participated in interpretations and in the writing of the manuscript. JF, FNN helped coordinate the clinical studies, made table and edited the manuscript. BD, DT, NMG, RDC helped coordinate the clinical studies and edited the manuscript. ACP and AN coordinated and supervised the study and editedthe manuscript.
Acknowledgments
The authors wish to thank volunteers, patients and blood donors, medical and nursery staff, all of whom enthusiastically agreed to participate in this study.
References
- 2.Kampa Marilena, N A.Vassilios Tsaousis, Niki Maliaraki,George Notas,and Elias Castanas. (2002).A new automated method for the determination of the Total Antioxidant Capacity (TAC) of human plasma, based on the crocin bleaching assay. , BMC Clin Pathol 2(3), 1-16.
- 3.Frei B, Stocker R, B N Ames. (1988) Antioxidant defenses and lipid peroxidation in human blood plasma. Proc Natl Acad Sci U S A 85(24), 9748-52.
- 5.Svilaas A. (2004) Intakes of antioxidants in coffee, wine, and vegetables are correlated with plasma carotenoids in humans. , J Nutr 134(3), 562-7.
- 6.Schieber M, N S Chandel. (2014) function in redox signaling and oxidative stress. , Curr Biol 24(10), 453-62.
- 7.Nathan C, Cunningham-Bussel A. (2013) Beyond oxidative stress: an immunologist's guide to reactive oxygen species. Nat Rev Immunol. 13(5), 349-61.
- 8.Dupre-Crochet S, Erard M, Nubetae O. (2013) production in phagocytes: why, when, and where?. , J Leukoc Biol 94(4), 657-70.
- 9.Efe H.(2004).Erythrocyte antioxidant enzyme activities and lipid peroxidation in patients with types IIb and IV hyperlipoproteinemias. , Tohoku J Exp 202(3), 163-72.
- 10.A V Ivanov. (2016) Oxidative Stress during HIV Infection: Mechanisms and Consequences. Oxid Med Cell Longev. 8910396.
- 11.Couret J, T L Chang. (2016) . Reactive Oxygen Species in HIV Infection. EC Microbiol 3(6), 597-604.
- 12.Banerjee A. (2010) HIV proteins (gp120 and Tat) and methamphetamine in oxidative stress-induced damage in the brain: potential role of the thiol antioxidant N-acetylcysteine amide. Free Radic Biol Med. 48(10), 1388-98.
- 13.J A Fields. (2015) Mechanisms of HIV-1 Tat neurotoxicity via CDK5 translocation and hyper-activation: role in HIV-associated neurocognitive disorders. Curr HIV Res. 13(1), 43-54.
- 14.Halliwell B. (1994) Free radicals, antioxidants, and human disease: curiosity, cause, or consequence? Lancet. 344(8924), 721-4.
- 15.K I Tasca. (2017) Antiretroviral Therapy Initiation Alters the Redox System of Asymptomatic HIV-Infected Individuals: A Longitudinal Study. Oxid Med Cell Longev. 9834803.
- 16.Hernandez S. (2017) Placental Mitochondrial Toxicity, Oxidative Stress, Apoptosis, and Adverse Perinatal Outcomes in HIV Pregnancies Under Antiretroviral Treatment Containing Zidovudine. J Acquir Immune Defic Syndr. 75(4), 113-119.
- 17.Apostolova N.et al.,(2017).Efavirenz: What is known about the cellular mechanisms responsible for its adverse effects. , Eur J Pharmacol 812, 163-173.
- 18.Judith L Ngondi. (2006) Musoro Forkah, Lucten Honore Etame and Dora Mbanya, The effect of different combination therapies on oxidative stress markers in HIV infected patients in cameroon. , AIDS Research and Therapy 3(19), 1-7.
- 19.Augusta Chinyere Nsonwu-Anyanwu, I Dianabasi King E V. (2017) Agu Chidozie Elochukwu, Sunday Jeremiah, Offor Tom Solomon, and Chinyere Adanna Opara Usoro Biomarkers of Oxidative Stress. in HIV Seropositive Individuals on Highly Active Antiretroviral Therapy Cell 3(9), 1-11.
- 20.Awodele O, S Nwite JA O.Adeyemo TA.(2012).P.B.o.O.S.i.H.S.I.o.H.A.A. Therapy., Investigation of the levels of oxidative stress parameters in HIV and HIV-TB co-infected patients. , J Infect Dev Ctries 6(1), 79-85.
- 21.Ghiselli A. (2000) Total antioxidant capacity as a tool to assess redox status: critical view and experimental data. Free Radic Biol Med. 29(11), 1106-14.
- 22.I F Benzie, J. (1996) The ferric reducing ability of plasma (FRAP) as a measure of "antioxidant power": the FRAP assay. Anal Biochem. 239(1), 70-6.
- 23.Lefevre G, Beyerle F B-L M, Bonnefont-Rousselot D, Cristol J P, Therond P. (1998) Evaluation of lipid peroxidation by measuring thiobarbituric acid reactive substances. Ann Biol Clin. 56(3), 305-19.
- 25.Teto G.et al.,(2013).Lipid peroxidation and total cholesterol in HAART-naive patients infected with circulating recombinant forms of human immunodeficiency virus. type-1 in Cameroon. PLoS One 8(6), 65126.
- 26. (1993) classification system for HIV infection and expanded surveillance case definition for AIDS among adolescents and adults. MMWR Recomm Rep. 41, 1-19.
- 27.Magadi MA.(2011).Understanding the gender disparity in HIV infection across countries in sub-Saharan Africa: evidence from the Demographic and Health Surveys. Sociol Health Illn. 33(4), 522-39.
- 28.Igulot P, M A. (2018) . (2018).Socioeconomic Status and Vulnerability to HIV Infection in Uganda: Evidence from Multilevel Modelling of AIDS Indicator Survey Data. AIDS Res Treat 7812146.
- 32.El-Amine R. (2018) HIV-1 Tat protein induces DNA damage in human peripheral blood B-lymphocytes via mitochondrial ROS production. Redox Biol. 15, 97-108.
- 33.A, L J Sitole, Meyer D. (2017) oxidative stress is detectable by metabonomics. , Mol Biosyst 13(11), 2202-2217.
- 34.Marmor M. (1997) Low serum thiol levels predict shorter times-to-death among HIV-infected injecting drug users. Aids. 11(11), 1389-93.
- 36.pasupathi P. (2009) Oxidative Stress Markers and Antioxidant Imbalance in. , HIV Infection and AIDS Patients. J. Sci. Res 1(2), 370-380.
- 37.D R Suresh. (2009) Total antioxidant capacity--a novel early bio-chemical marker of oxidative stress in HIV infected individuals. , J Biomed Sci 16, 61.
- 38.Filho Aroldo Vieira de Moraes. (2016) Cristiene Costa Carneiro ,Camila Regina do Vale ,Débora Cristina da Silva Lima ,Wanessa Fernandes Carvalho ,Thiago Bernardi Vieira. Daniela de Melo e Silva , Kênya Silva Cunha, Lee Chen-Chen, Genotoxic and Cytotoxic Effects of Antiretroviral Combinations in Mice Bone Marrow. PLoS ONE 11-11.
- 39.Cabello Alfonso, C Juan Alfredo López J, Rosa García Delgado, Manuel L.Fernández Guerrero and Miguel Górgolas. (2015).Long-Term Efficacy of Nevirapine Plus Co-Formulated Abacavir/Lamividune as Simplification Therapy in HIV-Infected Patients with Undetectable Viral Load. , Journal of AIDS & Clinical Research 6(5), 1-5.
- 40.Elias Adikwu.B.N.(2013).Deo Oputiri and Oru-Bo Precious Geoffrey Antiretroviral Toxicity and Oxidative Stress. , American Journal of Pharmacology and Toxicology 8(4), 187-196.
- 41.Chandra S, Mondal D, K C Agrawal. (2009) HIV-1 protease inhibitor induced oxidative stress suppresses glucose stimulated insulin release: protection with thymoquinone. Exp Biol Med. , (Maywood) 234(4), 442-53.
- 42.K R Manda. (2011) Highly active antiretroviral therapy drug combination induces oxidative stress and mitochondrial dysfunction in immortalized human blood-brain barrier endothelial cells. Free Radic Biol Med. 50(7), 801-10.
- 43.R A Omar, Yano S, Kikkawa Y. (1987) Antioxidant enzymes and survival of normal and simian virus 40-transformed mouse embryo cells after hyperthermia. Cancer Res. 47(13), 3473-6.
- 44.F S Turker. (2016) Change in Free Radical and Antioxidant Enzyme Levels in the Patients Undergoing Open Heart Surgery with Cardiopulmonary Bypass. Oxid Med Cell Longev. 1783728.
- 45.WHO. (2013) definitions of clinical, immunological and virological failure for the decision to switch ART regimens. www.who.int/hiv/pub/guidelines/arv2013/art/WHO_CG_table_7.15.pdf.
- 47.Charles M Kwobah, M Julius K Koech A W, Gilbert N Simiyu, Abraham M.Siika.(2012).Factors Associated with First-Line Antiretroviral Therapy Failure amongst HIV-Infected African Patients: A Case-Control Study*. , World Journal of AIDS 2(4), 1-8.
- 48.Wittkop L.CD4 cell count response to first-line combination ART in HIV-2+ patients compared with HIV-1+ patients: a multinational, multicohort European study. , J Antimicrob Chemother 72(10), 2869-2878.
- 49.Cao P. (2018) Treatment outcomes and HIV drug resistance of patients switching to second-line regimens after long-term first-line antiretroviral therapy: An observational cohort study. Medicine. , (Baltimore) 97(28), 11463.
- 50.M Sebastien Haneuse S.Do Duy Cuong, Tuong Van Vu, Pham Thi Thanh Thuy, Nguyen Thi Dung, Nguyen Thi Hoai Dung, Nguyen Vu Trung, Nguyen Van Kinh, and Shinichi Oka(2017).Long‐term viral suppression and immune recovery during first‐line antiretroviral therapy: a study of an HIV‐infected adult cohort in Hanoi. , Vietnam J Int AIDS Soc 20(4), 1-8.
- 51.Avihingsanona Anchalee, W-a-n SivapornGatechompol, VorapotSapsirisavat WanidaThiansanguankul, JiratchayaSophonphan NarujakornThammajaruk, DavidM Burgerc SasiwimolUbolyam et al. (2017) and safety of a once-daily single-tablet regimen of tenofovir, lamivudine, and efavirenz assessed at 144 weeks among antiretroviral-naïve and experienced HIV-1-infected Thai adults. , International Journal of Infectious Diseases.61(1-8)
- 52.Azimi Iman, M Rob J Center L J, Wong Jason W H, Philip J Hogg. (2010) . Disulfide Bond That Constrains the HIV-1 gp120 V3 Domain Is Cleaved by Thioredoxin. J Biol Chem 285(51), 1-9.
- 53.Jon D Kaiser, C Joseph P Ondercin A M, Gifford S Leoung, Richard F Pless, Marianna K Baum. (2006) Micronutrient Supplementation Increases CD4 Countin HIV-Infected Individuals on Highly ActiveAntiretroviral Therapy: A Prospective, Double-Blinded, Placebo-Controlled Trial. J Acquir Immune Defic Syndr. 42, 523-528.
- 54.Rosa S C De. (2000) N-acetylcysteine replenishes glutathione in HIV infection. , Eur J Clin Invest 30(10), 915-29.
Cited by (1)
This article has been cited by 1 scholarly work according to:
Citing Articles:
World Journal of Advanced Research and Reviews (2024) OpenAlex
