Marangoni Effect in Second Grade Forced Convective Flow of Water Based Nanofluid
Abstract
Advances in nanotechnology especially in nanofluids comprising of a typical base fluid saturated with nano-size metallic particles with enhanced thermophysical properties is one of the hot topics in industrial as well as engineering applications of applied mathematics. This article explores the impact of Lorentz forces and Maragoni effect on second grade nanofluid forced convective flow. A two phase model is chosen to validate the nanofluid. Series solutions are achieved through HAM after transformation of PDEs into ODEs. The Brownian motion effect, Thermophoresis and the Marangoni effect are the main influencing factors for present flow model. In addition, the influence of pertinent fluid parameters such as Schmidt number, Magnetic number and Prandtl number on the velocity, temperature and concentration profiles is discussed with the help of graphs. With an enhanced Marangoni factor the hydraulic boundary layer thickness shows enhancement.
Author Contributions
Academic Editor: Muhammad Humayun, Huazhong University of Science and Technology, China.
Checked for plagiarism: Yes
Review by: Single-blind
Copyright © 2019 Ghulam Rasool, et al.
This is an open-access article distributed under the terms of the Creative Commons Attribution License, which permits unrestricted use, distribution, and reproduction in any medium, provided the original author and source are credited.
Competing interests
The authors have declared that no competing interests exist.
Citation:
Introduction
The concept of nanofluid is very simple but it has broadly improved the efficiency of fluids especially from industrial point of view. The suspension of nanoparticles in typical base fluid results in a very highly conductive fluid that certainly reduces the human effort as well as the machine heating. These suspensions can meet the cooling requirement for any type of thermal system. The foundation of nanofluid was laid by Choi 1 and later on, the concept became famous in all the related fields of fluid dynamics due to its industrial applications. Ibanez et al. 2 discussed an analytic investigation for MHD nanoliquid flow with suction/injection and radiation effects. Gorji et al. 3 involved a variable magnetic field for investigation of a squeezed nanofluid flow considering the Brinkman model. Related articles can be seen in 4, 5, 6, 7, 8, 9, 10, 11 and references cited therein.
Surface tension as well as the gradients of temperature and concentration results in Marangoni convection appearing in fluid flow analysis. The topic is interesting due to its applications in crystal growth mechanism, beam melting and welding etc. Lin et al. 12 reported the Marangoni convection in nanoliquid flow via thermal gradient varying the magnetic effect. Surface tension is taken as a nonlinear temperature and concentration function. Aly and Ebaid 13 found exact solutions considering Marangoni effect in nanofluid flow using Laplace transformation method. Most recent articles can be seen in 14, 15, 16, 17 and reference cited therein.
Present inspiration is covered by the following novel aspects. Firstly, to model a second grade nanofluid forced convective flow due to the Lorentz forces instigated into the fluid by induction of a variable magnetic field. Secondly, to achieve series solutions through HAM. The PDEs are transformed into ODEs using usual similarity transformations. Finally, to discuss the results through graphs with sufficient concluding remarks.
Problem Statement
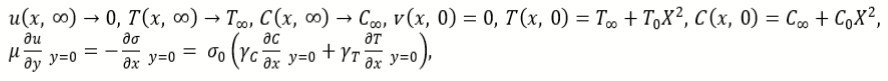
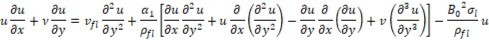
We consider a second grade nanofluid forced convection due to the Lorentz forces instigated into the model by induction of an applied Magnetic field. The effect of magnetic field develops normal to the surface upon which the fluid is flowing. The Marangoni effect is utilized to apprehend the fluid flow in forward direction. The problem is considered in two dimensions such that the fluid flows along x-axis and the y-axis extends normal to the surface. There is no fluid motion along y-axis therefore, v=0 is taken. Along x-axis the fluid undergoes the Lorentz forces that are induced into the model due to the applied magnetic field neglecting the Hall effects. The interface temperature is taken as function of x as depicted in Figure 1. The interface condition and velocity components can be visualized in Figure 1.
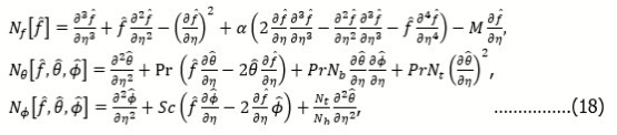
Governing equations are therefore, as follows:
……. (2)
……. (3)
……. (4)
with following boundary conditions,
….. (5)
The surface tension σ, being a function of T and C can be defined as follows:
………
(6)
where
………. (7)
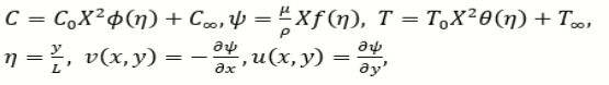
Here u , ν are the horizontal and vertical velocity components, respectively v fl. is the kinematic viscosity, ρfl is the density of fluid B0 is the magnetic effect involved in the model for MHD, σ is the surface tension, αfl is is thermal diffusivity of the fluid, the ratio between heat capacity of the nanoparticles (ρc)np and heat capacity of base fluid (ρc) fl. DBr is Brownian diffusion, DTh is Thermophoresis.
Define,
……… (8)
Using (8) in equations 1, 2, 3, 4, we get
…………. (9)
……… (10)
………….. (11)
subject to the following boundary conditions:
……… (12)
where r=(C0 𝜸C)/(T0 γT ), M=(L2 σl B0)/μ, Pr=νfl /αfl is the Prandtl number Nb=(ρc)np DB𝜸 C0 x2) / (ρc)lf L2 a), Nt=(ρc)np DTh x2) / (ρc)lf L2 a), L= μν fl)/(σ0 T0 γT) are the Marangoni factor (r), modified Hartman number (M), Prandtl factor (Pr), Brownian motion parameter (Nb), Schmidt number (Sc), Thermophoresis parameter (Nt) and reference length (L), respectively. The second grade fluid parameter (α) is defined as α1/(ρfl L2).
Series Solutions
Homotopy analysis method 18, 19, 20, 21, 22 for convergent series solutions is very convenient to obtain the approximated solutions for a given nonlinear system. The method is independent of small/large physical parameters. Thus it is an efficient method as compared to other conventional methods for solving nonlinear systems. Assuming the following initial guesses,
…. (13)
The auxiliary parameters can be defined as follows:
……. (14)
such that,
……. (15)
where Mi are constants for i=1-7. Subsequently, the zeroth order problems of deformation are written as follows:
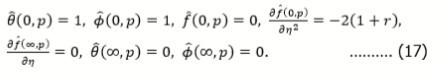
with following boundary conditions:
Therefore,
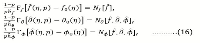
where p∈ (0,1) is a typical embedding parameter and h ̂f , h ̂θ, h ̂ϕ are so-called auxiliary parameters with Nf, Nθ, Nϕ are the non-linear operators. For p =0,1 , we have:
……. (19)
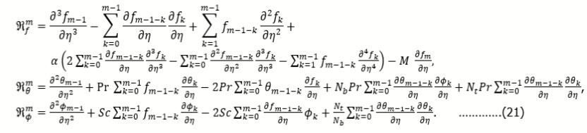
The mth problems of deformation are
where gm=1 for m>1 otherwise 0.
Finally,
Thus,
…… (22)
are the general solutions where Mi are the arbitrary constants for i=1-7 and fm* (η) ,θm* (η), ϕm* (η) are special solutions.
Convergence Analysis
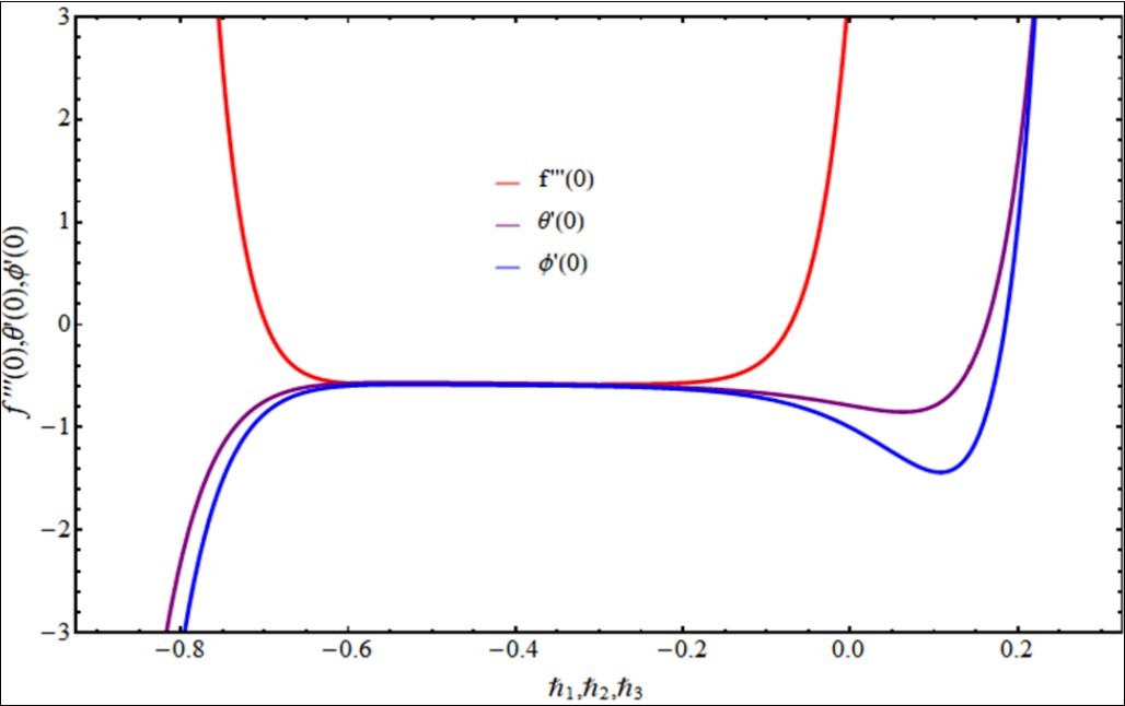
The auxiliary parameters introduced in (series solution) for the velocity profile (f), temperature distribution (θ) and concentration distribution (ϕ) are termed as convergence control parameters. These parameters are significant to speed-up the convergence. Convergence intervals are sketched in Figure 2. The interval of interest for convergence of the aforementioned profiles is (-0.60, 0.30).
Results and Discussion
This section is concerned with the discussion on graphical results that are obtained through Mathematica based HAM code for specific values of pertinent fluid parameters including the second grade fluid parameter, the Magnetic number, the Marangoni ratio, the Prandtl and Schmidt numbers as well as the Brownian and Thermophoretic parameters. Figure 3. displays the effect of second grade fluid parameter on the velocity profile. The velocity shows decreasing behavior for incremental values of respective parameter. A certain increase in viscosity results in decrease of fluid motion. The velocity shows reduction with augmented values of Marangoni ratio as depicted in Figure 4. Similar is the case noticed for Magnetic number as displayed in Figure 5. A significant drop in velocity profile appears at first sight however, the variation slows down with the stronger effect of magnetic number. The temperature profile, as displayed in Figure 6, shows augmented behavior with augmented values of Marangoni ratio. However, after certain limitation, the effect can be seen in opposite nature. The Prandtl number shows enhancement in temperature profile due to an enhanced thermal diffiusivity as one can see in Figure 7. Figure 8 and Figure 9 are the display of variation in Temperature profile varying the values of Brownian motion parameter and Thermophoretic parameter, respectively. The rapid and in-predictive movement of nanoparticles as well as the more stronger Thermophoretic force results in incremental behavior of temperature profile. The effect of Marangoni ratio on concentration profile is displayed in Figure 10. The results persist with those appearing in Temperature profile for the same parameter. An opposite behavior is seen upon variation of Thermophoretic parameter and Schmidt number for concentration profile as displayed in Figure 11 and Figure 12, respectively.
Figure 3.Impact of second grade parameter on velocity profile
Figure 4.Impact of Marangoni ratio on velocity profile
Figure 5.Impact of magnetic number on velocity profile
Figure 6.Impact of Marangoni ratio on temperature profile
Figure 7.Impact of Prandtl number on temperature profile
Figure 8.Impact of Brownian motion on temperature profile
Figure 9.Impact of Thermophoresis on temperature profile
Figure 10.Impact of Marangoni ratio on concentration profile
Figure 11.Impact of Thermophoresis on concentration profile
Figure 12.Impact of Schmidt number on concentration profile
Closing Remarks
This study concludes with the impact of Marangoni effect and Lorentz force generated by MHD on second grade nanofluid flow. Flow model is formulated mathematically in PDEs which are transformed into ODEs using transformation and HAM is applied to get the convergent series solutions. We conclude that velocity profile reduces for stronger Marangoni effect in second grade nanofluid. The Brownian motion and Thermophoresis have significant impact on the flow profiles. Furthermore, the temperature and concentration profile shows augmented behavior with augmented Marangoni ratio. One can see that due to strong impact of Lorentz forces, a reduction in hydraulic boundary layer is noticed however, an opposite behavior is shown the other two profiles.
References
- 1.Choi S U S. (1995) Enhancing thermal conductivity of fluids with nanoparticles. , D. App. Non-Newtonian Flows 231, 99-105.
- 2.Ibanez G, Lupez A, Pantoja J, Moreira J. (2016) Entropy generation analysis of a nanofluid flow in MHD porous microchannel with hydrodynamic slip and thermal radiation. , Int. J. H. M. Trans 100, 89-97.
- 3.M R Gorji, Pourmehran O, M G Bandpy, D. (2016) Unsteady squeezing nanofluid simulation and investigation of its effect on important heat transfer parameters in presence of magnetic field. , J. T. Inst. Chem. Eng 67, 467-475.
- 4.K L Hsiao. (2017) To promote radiation electrical MHD activation energy thermal extrusion manufacturing system e¢ ciency by using Carreau-Nanofluid with parameters control method. , Energy 130, 486-499.
- 5.Mabood F, W A Khan, Ismail A I M. (2015) MHD boundary layer flow and heat transfer of nanofluids over a nonlinear stretching sheet: A numerical study. , J. Mag. Mag. Mat 374, 569-576.
- 6.Raju C S K, Sandeep N. (2017) Unsteady Casson nanofluid flow over a rotating cone in a rotating frame filled with ferrous nanoparticles: A Numerical study. , J. Mag. Mag. Mat 421, 216-224.
- 7.Shafiq A, Hammouch Z, T N Sindhu. (2017) Bioconvective MHD flow of Tangent hyperbolic nanofluid with Newtonian heating. , Int. J. Mech. Sci 133, 759-766.
- 8.Azam M, Khan M, A S. (2017) Effects of magnetic field and partial slip on unsteady axisymmetric flow of Carreau nanofluid over a radially stretching surface. , Res. Phys 7, 2671-2682.
- 9.Naseem F, Shafiq A, Zhao L, Naseem A. (2017) MHD biconvective áow of Powell Eyring nanofluid over stretched surface. , AIP Adv 7, 065013.
- 10.Reddy J V R, Sugunamma V, Sandeep N. (2017) Thermophoresis and Brownian motion effects on unsteady MHD nanofluid flow over a slendering stretching surface with slip effects. , Alex. Eng. J 065013.
- 11.G C Shit, Haldar R, Mandal S. (2017) Entropy generation on MHD flow and convective heat transfer in a porous medium of exponentially stretching surface saturated by nanofluids. , Adv. P. Tech 28, 1519-1530.
- 12.Lin Y, Zheng L, Zhang X. (2015) MHD Marangoni boundary layer flow and heat transfer of pseudo-plastic nanofluids over a porous medium with a modified model. , Mech Time-Depend Mater 4, 519-36.
- 13.E H Aly, A. (2016) Ebaid,Exact analysis for the effect of heat transfer on MHD and radiation Marangoni boundary layer nanofluid flow past a surface embedded in a porous medium. , J Mol Liquids 215, 625-39.
- 14.Mat N A A, N M Arifin, Nazar R. (2012) Radiation effect on Marangoni convection boundary layer flow of a nanofluid.Mathemat Sci. 1(6), 1-6.
- 15.G S, K A Petrosyan, R S Hakobyan, R B Alaverdyan. (2017) . , Experimental Investigation of Marangoni Convection in Nanofluids, Journal of Contemporary Physics (Armenian Academy of Sciences) 4, 362-365.
- 16.Al-Sharafi Abdullah, Ahmet Z, Sahin Bekir, Yilbas S, S Z. (2016) Marangoni convection flow and heat transfer characteristics of water–CNT nanofluid droplets. , Numerical Heat Transfer, Part A: Applications 7, 763-780.
- 17.Rasool G, Zhang T, Shafiq A, Durur H. (2019) Influence of Chemical Reaction on Marangoni Convective Flow of Nanoliquid in the Presence of Lorentz Forces and Thermal Radiation: A Numerical Investigation. , J. Adv. Nanotech 1, 32-49.
- 18.Bhattacharyya K. (2011) Effects of radiation and heat source/sink on unsteady MHD boundary layer flow and heat transfer over a shrinking sheet with suction/injection. , Front. Chem. Sci. Eng 5, 376-384.
- 19.Lavanya B, A L Ratnam. (2014) Radiation and mass transfer effects on unsteady MHD natural convective flow past a vertical porous plate embedded in a porous medium in a slip flow regime with heat source/sink and Soret effect. , Int. J. Eng. Tech. Res 2, 376-384.
- 20.Ali I, Rasool G, Alrashed S. (2018) Numerical simulations of reaction--diffusion equations modeling prey--predator interaction with delay. , Int. J. Bio 11, 1850-054.
Cited by (86)
This article has been cited by 86 scholarly works according to:
Citing Articles:
Ibrahim Mahariq, K. A. Abro, A. Siyal - Propulsion and Power Research (2025) Semantic Scholar
Propulsion and Power Research (2025) OpenAlex
Propulsion and Power Research (2025) Crossref
Munawar Abbas, Nargis Khan, Alsharef Mohammad, M. S. Hashmi, Mostafa Inc - ZAMM - Journal of Applied Mathematics and Mechanics / Zeitschrift für Angewandte Mathematik und Mechanik (2025) Semantic Scholar
ZAMM ‐ Journal of Applied Mathematics and Mechanics / Zeitschrift für Angewandte Mathematik und Mechanik (2025) OpenAlex
ZAMM - Journal of Applied Mathematics and Mechanics / Zeitschrift für Angewandte Mathematik und Mechanik (2025) Crossref
Munawar Abbas, Ibrahim Mahariq, Ansar Abbas, Humaira Kanwal, Ali Hasan Ali - Proceedings of the Institution of Mechanical Engineers Part N Journal of Nanomaterials Nanoengineering and Nanosystems (2025) Semantic Scholar
Proceedings of the Institution of Mechanical Engineers Part N Journal of Nanomaterials Nanoengineering and Nanosystems (2025) OpenAlex
Proceedings of the Institution of Mechanical Engineers, Part N: Journal of Nanomaterials, Nanoengineering and Nanosystems (2025) Crossref
M. Abbas, Nargis Khan, M. S. Hashmi, Fredous M. Tawfiq, S. Rezapour et al. - Case Studies in Thermal Engineering (2024) Semantic Scholar
International Journal of Applied and Computational Mathematics (2024) Crossref
Anum Shafiq, A. B. Çolak, T. Sindhu, Tahani A. Abushal - Journal of Engineering Research (2024) Semantic Scholar
Journal of Engineering Research (2024) OpenAlex
Journal of Engineering Research (2024) Crossref
Sk. Reza‐E‐Rabbi, Md. Yousuf Ali, S. Ahmmed - Alexandria Engineering Journal (2024) Semantic Scholar
Alexandria Engineering Journal (2024) OpenAlex
M. Abbas, Nargis Khan, M. S. Hashmi, R. Alhefthi, Mostafa Inc - Case Studies in Thermal Engineering (2024) Semantic Scholar
Case Studies in Thermal Engineering (2024) OpenAlex
Case Studies in Thermal Engineering (2024) Crossref
Journal of Computational and Applied Mathematics (2024) Crossref
Xiangning Zhou, Muhammad Amer Qureshi, Nargis Khan, W. Jamshed, Siti Sarwani Putri Mohamed Isa et al. - Open Physics (2024) Semantic Scholar
Open Physics (2024) OpenAlex
Open Physics (2024) Crossref
Research Square (Research Square) (2023) OpenAlex
L. A. Lund, M. Fadhel, J. Prakash, M. Dhange, Anjali Verma et al. - International Journal of Applied and Computational Mathematics (2023) Semantic Scholar
International Journal of Applied and Computational Mathematics (2023) OpenAlex
International Journal of Ambient Energy (2023) Crossref
Journal of Porous Media (2023) Crossref
Applied Nanoscience (2023) Crossref
Research Square (Research Square) (2023) OpenAlex
M. Abbas, Nargis Khan - Advances in Mechanical Engineering (2023) Semantic Scholar
Advances in Mechanical Engineering (2023) OpenAlex
Advances in Mechanical Engineering (2023) Crossref
M. Abbas, N. Khan, M. S. Hashmi, J. A. Younis - Scientific Reports (2023) Semantic Scholar
Scientific Reports (2023) OpenAlex
Scientific Reports (2023) Crossref
V. Marinca, Bogdan Marinca, N. Herisanu - Journal of Computational and Applied Mathematics (2023) Semantic Scholar
Journal of Computational and Applied Mathematics (2023) OpenAlex
M. Abbas, N. Khan, S. Shehzad - Advances in Mechanical Engineering (2023) Semantic Scholar
Advances in Mechanical Engineering (2023) OpenAlex
Advances in Mechanical Engineering (2023) Crossref
F. Alzahrani, R. J. P. Gowda, R. N. Kumar, M. Khan - Journal of the Indian Chemical Society (2022) Semantic Scholar
Journal of the Indian Chemical Society (2022) OpenAlex
Journal of the Indian Chemical Society (2022) Crossref
M. Yaseen, Rashmi Garia, S. Rawat, Manoj Kumar - International Journal of Ambient Energy (2022) Semantic Scholar
International Journal of Ambient Energy (2022) OpenAlex
Journal of Porous Media (2022) OpenAlex
Lubricants (2022) OpenAlex
Lubricants (2022) Crossref
H. Waqas, Metib Alghamdi, Taseer Muhammad, Muhammad Altaf Khan - (2021) Semantic Scholar
Case Studies in Thermal Engineering (2021) OpenAlex
Case Studies in Thermal Engineering (2021) Crossref
Dr. Ghulam Rasool, Anum Shafiq, H. Durur - Discrete and Continuous Dynamical Systems. Series A (2021) Semantic Scholar
Discrete & Continuous Dynamical Systems - S (2021) Crossref
Journal of Thermal Analysis and Calorimetry (2021) OpenAlex
J. Mackolil, B. Mahanthesh - International Communications in Heat and Mass Transfer (2021) Semantic Scholar
International Communications in Heat and Mass Transfer (2021) OpenAlex
International Communications in Heat and Mass Transfer (2021) Crossref
R. P. Punith Gowda, R. Naveen Kumar, A. Jyothi, B. Prasannakumara, I. Sarris - (2021) Semantic Scholar
Processes (2021) OpenAlex
Processes (2021) Crossref
International Journal of Thermophysics (2021) Crossref
International Journal of Modern Physics B (2021) OpenAlex
International Journal of Modern Physics B (2021) Crossref
M. Sadiq, T. Hayat - Entropy (2020) Semantic Scholar
Entropy (2020) OpenAlex
Entropy (2020) Crossref
Discrete and Continuous Dynamical Systems - S (2020) OpenAlex
L. A. Lund, Z. Omar, I. Khan, El-Sayed M. Sherif - Computers Materials & Continua (2020) Semantic Scholar
Computers, materials & continua/Computers, materials & continua (Print) (2020) OpenAlex
Computers, Materials & Continua (2020) Crossref
L. A. Lund, Z. Omar, I. Khan, El-Sayed M. Sherif - Symmetry (2020) Semantic Scholar
Symmetry (2020) OpenAlex
Symmetry (2020) Crossref
A. Awan, Samia Riaz, S. Sattar, K. A. Abro - The European Physical Journal Plus (2020) Semantic Scholar
The European Physical Journal Plus (2020) OpenAlex
The European Physical Journal Plus (2020) Crossref
Anum Shafiq, I. Khan, Dr. Ghulam Rasool, El-Sayed M. Sherif, A. H. Sheikh - (2020) Semantic Scholar
Mathematics (2020) OpenAlex
Mathematics (2020) Crossref
Sohail A. Khan, T. Hayat, A. Alsaedi, Q. Zai - Journal of Physics Communications (2020) Semantic Scholar
Journal of Physics Communications (2020) OpenAlex
Journal of Physics Communications (2020) Crossref
Md Sharifuddin Ansari, V. Magagula, M. Trivedi - Heat Transfer (2020) Semantic Scholar
Heat Transfer (2020) OpenAlex
Heat Transfer (2020) Crossref
Anum Shafiq, Anum Shafiq, C. M. Khalique - (2020) Semantic Scholar
Alexandria Engineering Journal (2020) OpenAlex
Alexandria Engineering Journal (2020) Crossref
Heat Transfer—Asian Research (2020) Crossref
T. Hayat, Sohail A. Khan, A. Alsaedi, H. Fardoun - International journal of thermophysics (2020) Semantic Scholar
International Journal of Thermophysics (2020) OpenAlex
Dr. Ghulam Rasool, Anum Shafiq - Applied Nanoscience (2020) Semantic Scholar
Applied Nanoscience (2020) OpenAlex
W. Ibrahim, Chaluma Zemedu - Journal of Physics Communications (2020) Semantic Scholar
Journal of Physics Communications (2020) Crossref
Anum Shafiq, Dr. Ghulam Rasool, C. M. Khalique - Symmetry (2020) Semantic Scholar
Symmetry (2020) OpenAlex
Symmetry (2020) Crossref
T. Hayat, Sohail A. Khan, A. Alsaedi - (2020) Semantic Scholar
Journal of Materials Research and Technology (2020) OpenAlex
Journal of Materials Research and Technology (2020) Crossref
Dr. Ghulam Rasool, Ting Zhang - PLoS ONE (2019) Semantic Scholar
PLoS ONE (2019) OpenAlex
PLOS ONE (2019) Crossref
Dr. Ghulam Rasool, Ting Zhang, Ali J. Chamkha, Anum Shafiq, I. Tlili et al. - Entropy (2019) Semantic Scholar
Entropy (2019) OpenAlex
Entropy (2019) Crossref
A. Ray, B. Vasu - (2019) Semantic Scholar
World Journal of Engineering (2019) Crossref
World Journal of Engineering (2019) OpenAlex
Dr. Ghulam Rasool, Anum Shafiq, I. Tlili - Heat Transfer-Asian Research (2019) Semantic Scholar
Heat Transfer-Asian Research (2019) OpenAlex
Journal of Physics Communications (2019) OpenAlex
Anum Shafiq, I. Zari, Dr. Ghulam Rasool, I. Tlili, T. Khan - Mathematics (2019) Semantic Scholar
Mathematics (2019) OpenAlex
Mathematics (2019) Crossref
Dr. Ghulam Rasool, Ting Zhang, Anum Shafiq - Physica Scripta (2019) Semantic Scholar
Physica Scripta (2019) OpenAlex
Physica Scripta (2019) Crossref
Anum Shafiq, I. Khan, Dr. Ghulam Rasool, A. Seikh, El-Sayed M. Sherif - Mathematics (2019) Semantic Scholar
Mathematics (2019) OpenAlex
Mathematics (2019) Crossref










