Analysis of Isotopic Abundance Ratio of Consciousness Energy Healing Treated Metronidazole Using LC-MS and GC-MS Spectrometry
Abstract
Metronidazole is an antibiotic and useful for the antibacterial and antiprotozoal medication. This study was performed to investigate the impact of the Trivedi Effect®-Biofield Energy Healing Treatment on the structural properties and the isotopic abundance ratio of metronidazole using LC-MS and GC-MS spectroscopy. Metronidazole sample was divided into two parts, one part of metronidazole was considered as control (no Biofield Energy Treatment was provided), while the second part was treated with the Trivedi Effect®-Consciousness Energy Healing Treatment remotely by a renowned Biofield Energy Healer, Alice Branton and termed as a treated sample. The LC-MS spectra of both the samples of metronidazole at the retention time (Rt) 2.61 minutes exhibited the mass of the protonated molecular ion peak at m/z 172 M+H+ (calculated for C6H10N3O3+, 172.07). The LC-MS based isotopic abundance ratio of PM+1/PM (2H/1H or 13C/12C or 15N/214N or 17O/16O) in the treated metronidazole was significantly increased by 8.24% compared with the control sample. Thus,13C, 2H, 15N,and17O contributions from (C6H10N3O3)+ to m/z 173 in the treated sample were significantly increased compared with the control sample. The GC-MS based isotopic abundance ratio of PM+1/PM in the treated metronidazole was significantly increased by 5.92% compared with the control sample. Hence,13C, 2H, 15N, and217O contributions from (C6H9N3O3)+ to m/z 172 in the Biofield Energy Treated sample were significantly increased compared with the control sample. However, the isotopic abundance ratio of PM+2/PM in the treated metronidazole was significantly decreased by 18.2% compared with the control sample. Hence,18O contributions from (C6H9N3O3)+ to m/z 173 in the treated sample were significantly decreased compared with the control sample. The isotopic abundance ratio of PM+1/PM (2H/1H or 13C/12C or 15N/14N or 17O/16O) and PM+2/PM (18O/16O) in the treated metronidazole was significantly altered compared to the control sample. From the results, it can be hypothesized that the changes in isotopic abundance and mass peak intensities could be due to changes in nuclei possibly through the interference of neutrino particles via the Trivedi Effect® - Consciousness Energy Healing Treatment. The new form of treated metronidazole would be better designing novel pharmaceutical formulations that might offer better therapeutic response against bacterial and protozoal infection in the vagina (bacterial vaginosis), stomach (giardiasis, trichomoniasis, pseudomembranous colitis), joints (pelvic inflammatory disease), liver, skin, brain, and respiratory tract, aspiration pneumonia, rosacea, intra-abdominal infections, lung abscess, fungating wounds, periodontitis, amoebiasis, oral infections, etc.
Author Contributions
Academic Editor: Fatma Mohammed Mady, Department of Pharmaceutics, Minia University, Egypt.
Checked for plagiarism: Yes
Review by: Single-blind
Copyright © 2020 Alice Branton, et al.
This is an open-access article distributed under the terms of the Creative Commons Attribution License, which permits unrestricted use, distribution, and reproduction in any medium, provided the original author and source are credited.
Competing interests
No author has any associations that may represent a potential conflict of interest.
Citation:
Introduction
Metronidazole is an antibiotic, useful for the antiprotozoal medication. The mechanism of action involves the inhibition of the microorganism by means of disrupting the DNA of microbial cells for the nucleic acid synthesis. It has the relatively little effect on human cells or aerobic bacteria. This function only occurs when metronidazole is partially reduced, which usually happens only in anaerobic cells 1, 2. It is useful for the treatment of bacterial infections in the vagina (bacterial vaginosis), stomach (giardiasis, trichomoniasis, pseudomembranous colitis), liver, skin, joints (pelvic inflammatory disease), brain, and respiratory tract, aspiration pneumonia, rosacea, fungating wounds, intra-abdominal infections, lung abscess, periodontitis, amoebiasis, oral infections, and infections caused by susceptible anaerobic organisms such as Bacteroides, Dracunculus, Clostridium, Peptostreptococcus, Fusobacterium, Helicobacter pylori, and Prevotella species, etc.2, 3, 4, 5. It is also used for the infections of Giardia in cats, dogs, horse, and other companion animals 2, 6. Some of the common side effects associated with the metronidazole therapy are nausea, vomiting, headache, dizziness, diarrhoea, weight loss, abdominal pain, metallic taste in the mouth, thrombophlebitis, hypersensitivity reactions, stomatitis, glossitis, dark urine, leucopenia, neutropenia, peripheral neuropathy, central nervous system toxicity, and paraesthesia etc. 2, 7. Metronidazole is bitter in taste, and so in the liquid suspension, it contains in the form of metronidazole benzoate. Metronidazole has high oral bioavailability. It is also delivered in the form of a tablet, capsule, and intravenous injection also 7, 8. It is hazardous to the skin (irritant, permeator), eye (irritant), inhalation, and ingestion. The solubility profile of metronidazole is very poor, where is very slightly soluble in cold water, hot water, alcohol, chloroform, dilute acid, and dimethylformamide 9, 10.
Since the physicochemical properties of the pharmaceutical compounds have crucial role in its dissolution, absorption, and bioavailability profile in the biological system 11. In this scenario, it was found that the Trivedi Effect®-Biofield Energy Healing Treatment has the significant impact on various properties such as particle size, surface area, and isotopic abundance ratios of pharmaceutical and nutraceutical compounds 12, 13. The Trivedi Effect® is a natural and only scientifically proven phenomenon in which a person can harness this inherently intelligent energy and transmit it anywhere on the planet through the possible mediation of neutrinos 14. “Biofield Energy” the electromagnetic energy field which exists surrounding the living beings, which can transmit the electromagnetic energy in the form of bio-photons, generated by the continuous movement of the electrically charged particles (ions, cells, etc.) inside the body. Biofield Energy Healing specialists have the ability to harness the energy from the environment or the “Universal Energy Field” and can transmit into any living and non-living object(s), this process is called Biofield Energy Healing Treatment 15, 16, 17. Biofield based Energy Therapies have been reported to with significant outcomes against various disease 18. National Center of Complementary and Integrative Health (NCCIH) has recognized and accepted Biofield Energy Healing as a Complementary and Alternative Medicine (CAM) health care approach in addition to other therapies, medicines, and practices such as yoga, Qi Gong, Tai Chi, hypnotherapy, Reiki, etc. 19. These therapies have been accepted by most of the U.S.A. population with several advantages 20. In the same way, The Trivedi Effect®-Biofield Energy Healing Treatment has been proved scientifically with outstanding results in the fields of materials science 21, agricultural science 22, microbiology 23, cancer research 24, pharmaceuticals and nutraceuticals 12, 13, etc. The Trivedi Effect®-Biofield Energy Healing Treatment could be an economical approach for the practical problems associated with metronidazole with respect to the physicochemical properties for designing better pharmaceuticals formulations. The stable isotope ratio analysis has various applications in different scientific fields for understanding the isotope effects resulting from the variation of the isotopic composition of the molecule 25, 26. Isotope ratio analysis can be performed by using the conventional mass spectrometry (MS) techniques such as gas chromatography - mass spectrometry (GC-MS) and liquid chromatography - mass spectrometry (LC-MS) in low micromolar concentration with sufficient precision 27, 28. Therefore, LC-MS and GC-MS were used in this study to characterize the structural properties and evaluate the isotopic abundance ratio analysis of PM+1/PM (2H/1H or 13C/12C or 17O/16O or 15N/14N) and PM+2/PM (18O/16O) in the Trivedi Effect® - Consciousness Energy Healing Treated metronidazole compared to the control sample.
Materials and Methods
Chemicals and Reagents
Metronidazole was purchased from Tokyo Chemical Industry Co., Ltd., Japan. Other chemicals used during the experiments were of analytical grade available in India.
Consciousness Energy Healing Treatment Strategies
The test sample metronidazole powder was divided into two parts. One part of metronidazole powder sample was considered as a control sample (no Biofield Energy Treatment was provided). However, the other part of metronidazole was treated with the Trivedi Effect®- Consciousness Energy Healing Treatment remotely under standard laboratory conditions for 3 minutes and known as the Trivedi Effect® Treated or Biofield Energy Treated metronidazole sample. The Biofield Energy Treatment was provided through the healer’s unique energy transmission process by the renowned Biofield Energy Healer, Alice Branton, USA, to the test sample. Further, the control sample was treated with “sham” healer for comparison purpose. The “sham” healer did not have any knowledge about the Biofield Energy Treatment. After that, the Biofield Energy Treated and untreated metronidazole samples were kept in sealed conditions and characterized using LC-MS and GC-MS, analytical techniques.
Characterization
Liquid Chromatography-mass Spectrometry (LC-MS) Analysis and Calculation of
Isotopic Abundance Ratio
The LC-MS analysis of the control and Biofield Energy Treated metronidazole was carried out with the help of LC-MS ThermoFisher Scientific, the USA equipped with an ion trap detector connected with a triple-stage quadrupole mass spectrometer. The column used here was a reversed phase Thermo Scientific Synchronis C18 (Length-250 mm X ID 4.6 mm X 5 micron), maintained at 25˚C. 10 µL of metronidazole solution (methanol used as diluent) was injected and the analyte was eluted using 5% 10 mM ammonium formate (pH 3.5 with formic acid) (mobile phase A; 5%) and acetonitrile (mobile phase B; 95%) pumped at a constant flow rate of 1 mL/min. Chromatographic separation was achieved using gradient condition and the total run time was 10 min. Peaks were monitored at 300 nm using the PDA detector. The mass spectrometric analysis was performed under +ve ESI mode. The total ion chromatogram, peak area% and mass spectrum of the individual peak which was appeared in LC along with the full scan (m/z 50-1500) were recorded. The total ion chromatogram and mass spectrum of the individual peak (appeared in LC-MS) were recorded.
The natural abundance of each isotope (C, O, H, and N) can be predicted from the comparison of the height of the isotope peak with respect to the base peak. The values of the natural isotopic abundance of the common elements are obtained from the literature 36, 383940. The LC-MS based isotopic abundance ratios (PM+1/PM) for the control and Biofield Energy Treated metronidazole was calculated.
Percentage (%) change in isotopic abundance ratio = ((IARTreated – IARControl)/ IARControl) x 100)
Where IARTreated = isotopic abundance ratio in the treated sample and IARControl = isotopic abundance ratio in the control sample.
Gas Chromatography-mass Spectrometry (GC-MS) Analysis
GC-MS of the control and Biofield Energy Treated sample of metronidazole were analyzed with the help of Perkin Elmer Gas chromatograph equipped with a PE-5MS (30M x 250 micros x 0.250 microns) capillary column and coupled to a single quadrupole mass detector was operated with electron impact (EI) ionization in positive mode. Oven temperature was programmed from 75°C (5 min hold) to 280°C (14 min hold) @ 10°C /min (total run time 40 min). The sample was prepared taking 60 mg of the metronidazole is in 3 ml acetonitrile as a diluent. Mass spectra were scanned from m/z 20 to 400. The identification of analyte was done by GC retention times and by a comparison of the mass spectra of samples.
The GC-MS based isotopic abundance ratios (PM+1/PM and PM+2/PM) for the control and Biofield Energy Treated metronidazole was calculated.
Percentage (%) change in isotopic abundance ratio = ((IARTreated – IARControl)/ IARControl) x 100)
Where IARTreated = isotopic abundance ratio in the treated sample and IARControl = isotopic abundance ratio in the control sample.
Results and Discussion
Liquid Chromatography-mass Spectrometry (LC-MS)
The LC-MS chromatograms and mass spectra of both the samples of metronidazole are shown in the Figure 1 and Figure 2, respectively. The chromatograms of metronidazole showed the single major chromatographic peak at the retention time (Rt) of 2.61 minutes in both the case (Figure 1). This results indicated that the polarity of both the control and Biofield Energy Treated metronidazole remained same.
Figure 1.Liquid chromatograms of the control and Biofield Energy Treated metronidazole.
As per the literature metronidazole was detected with the molecular mass peak (M)+ at m/z 171 MS spectrum in positive ion mode 29. The mass spectra of both the samples of metronidazole (Figure 2) exhibited the mass of the protonated molecular ion peak at m/z 172 (M+H)+ (calculated for C6H10N3O3+, 172.07) in the control sample and Biofield Energy Treated sample (Figure 3).
Figure 2.Mass spectra of the control and Biofield Energy Treated metronidazole at Rt 2.61 minutes.
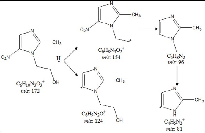
Figure 3.Proposed fragmentation pattern of metronidazole.
The LC-ESI-MS spectra of both the control and Biofield Energy Treated metronidazole showed the mass of the molecular ion peak (M+H)+ at m/z 172 (M+H)+ (calculated for C6H10N3O3+, 172.07) with relative intensity of 100%. The theoretical calculation of PM+1 for metronidazole was presented as below:
P(13C) = ((6 x 1.1%) x 100% (the actual size of the M+ peak)) / 100% = 6.6%
P(2H) = ((10 x 0.015%) x 100%) / 100%= 0.15%
P(15N) = ((3 x 0.4%) x 100%) / 100% = 1.2%
P(17O) = ((3 x 0.04%) x 100%) / 100% = 0.12%
PM+1,i.e.13C, 2H, 15N, and17O contributions from (C6H10N3O3)+ to m/z 173= 8.07%
The calculated isotope abundance (8.07%) was close to the experimental value 8.01% (Table 1). From the above calculation, it has been found that 13C and 15N have major contribution to m/z 173.
Table 1. LC-MS based isotopic abundance analysis results of metronidazole in Biofield Energy Treated sample compared to the control sample.| Parameter | Control sample | Biofield Energy Treated sample |
| PM at m/z 172 (%) | 100 | 100 |
| PM+1 at m/z 173 (%) | 8.01 | 8.67 |
| PM+1/PM | 0.08 | 0.09 |
| % Change of isotopic abundance ratio (PM+1/PM) with respect to the control sample | 8.24 |
The LC-MS based isotopic abundance ratio analysis of metronidazole in the control and Biofield Energy Treated samples were calculated. PM and PM+1 for metronidazole near m/z 172 and 173, respectively of the control and Biofield Energy Treated samples, which were obtained from the observed relative peak intensities of (M+) and ((M+1)+) peaks, respectively in the ESI-MS spectra (Table 1). The percentage change of the isotopic abundance ratio (PM+1/PM) in the Biofield Energy Treated metronidazole was significantly increased by 8.24% compared with the control sample (Table 1). Therefore, it was concluded that the13C, 2H, 15N, and17O contributions from (C6H10N3O3)+ to m/z 173 in the Biofield Energy Treated sample were significantly increased compared to the control sample.
Gas Chromatography-mass Spectrometry (GC-MS) Analysis
The GC of the control and Biofield Energy Treated metronidazole showed the presence of a single chromatographic peak in the chromatogram (Figure 4 and Figure 5). The retention times of the Biofield Energy Treated sample (16.48 minute) was close to those of the control sample (16.49 minutes). The parent molecular ion peak of metronidazole at m/z 271 M+ (calculated for C6H9N3O3+, 171.06) in the control sample and Biofield Energy Treated sample, along with the fragment ion peaks near m/z 154, 124, 96, and 81 (Figure 4 and Figure 5) which were proposed corresponded to the molecular formula C6H8N3O2+, C6H9N2O+, C5H8N2+, and C4H5N2+, respectively (Figure 3). The mass peak intensities influence the isotopic abundance ratio, which was well supported by the LC-MS based isotopic abundance ratio analysis.
Figure 4.The GC-MS chromatogram and mass spectra of the control metronidazole.
Figure 5.The GC-MS chromatogram and mass spectra of the Biofield Energy Treated metronidazole.
The GC-MS spectra of both the control and Biofield Energy Treated metronidazole showed the mass of the molecular ion peak M+ at m/z 171 (calculated for C6H9N3O3+, 171.06). The theoretical calculation of PM+1 for metronidazole was presented as below:
P(13C) = ((6 x 1.1%) x 15.7% (the actual size of the M+ peak)) / 100% = 1.04%
P(2H) = ((9 x 0.015%) x 15.7%) / 100%= 0.021%
P(15N) = ((3 x 0.4%) x 15.7%) / 100% = 0.19%
P(17O) = ((3 x 0.04%) x 15.7%) / 100% = 0.02%
PM+1,i.e.13C, 2H, 15N, and17O contributions from (C6H9N3O3)+ to m/z 172 = 1.27%
From the above calculation, it has been found that 13C and 15N have major contribution to m/z 172.
Similarly, the theoretical calculation of PM+2 for metronidazole was presented as below:
P(18O) = ((3 x 0.2%) x 15.7%) / 100% = 0.09%
PM+2,i.e.18O contributions from (C6H9N3O3)+ to m/z 173 = 1.2%
From the above calculation, it has been found that only 18O have the major contribution to m/z 173. The calculated isotopic abundances were close to the experimentally observed value (Table 2).
Table 2. GC-MS based isotopic abundance analysis results of metronidazole in control and Biofield Energy Treated samples.| Parameter | Control sample | Biofield Energy Treated sample |
| PM at m/z 171 (%) | 15.70 | 15.08 |
| PM+1 at m/z 172 (%) | 1.15 | 1.17 |
| PM+1/PM | 0.07 | 0.08 |
| % Change of isotopic abundance ratio (PM+1/PM) with respect to the control sample | 5.92 | |
| PM+1 at m/z 173 (%) | 0.14 | 0.11 |
| PM+1/PM | 0.01 | 0.01 |
| % Change of isotopic abundance ratio (PM+2/PM) with respect to the control sample | -18.20 |
The GC-MS based isotopic abundance ratio analysis of metronidazole in the control and Biofield Energy Treated samples were calculated. PM, PM+1, and PM+2 for metronidazole near m/z 171, 172, and 173, respectively of the control and Biofield Energy Treated samples, which were obtained from the observed relative peak intensities of [M+], [(M+1)+], and [(M+2)+] peaks, respectively in the mass spectra and are presented in Table 2. The isotopic abundance ratio of PM+1/PM in the Biofield Energy Treated metronidazole was significantly increased by 5.92% compared with the control sample (Table 2). Hence,13C, 2H, 15N, and17O contributions from (C6H9N3O3)+ to m/z 172 in the Biofield Energy Treated sample were significantly increased compared with the control sample. However, the isotopic abundance ratio of PM+2/PM in the Biofield Energy Treated metronidazole was significantly decreased by 18.2% compared with the control sample (Table 2). Hence,18O contributions from (C6H9N3O3)+ to m/z 173 in the Biofield Energy Treated sample were significantly decreased compared with the control sample.
LC-MS and GC-MS study confirmed the sample as metronidazole. The LC-MS and GC-MS based isotopic abundance ratios of PM+1/PM (2H/1H or 13C/12C or 15N/14N or 17O/16O) and PM+2/PM (18O/16O) in the Biofield Energy Treated metronidazole were significantly altered compared to the control sample. As per modern physics, the neutrinos change identities which are only possible if the neutrinos possess mass and have the ability to interchange their phase from one phase to another internally. Therefore, the neutrinos have the ability to interact with protons and neutrons in the nucleus, which indicated a close relation between neutrino and the isotope formation 14, 26, 27. The altered isotopic composition in molecular level of the Trivedi Effect®-Consciousness Energy Healing Treated metronidazole might be due to the alteration in neutron to proton ratio in the nucleus. It can be hypothesized that the changes in isotopic abundance could be due to changes in nuclei possibly through the interference of neutrino particles via the Trivedi Effect® - Consciousness Energy Healing Treatment. The new form of metronidazole (Biofield Energy Treated) would be very useful to design better pharmaceutical formulations that might offer better therapeutic response against many diseases.
Conclusions
The experimental results concluded that the Trivedi Effect®-Consciousness Energy Healing Treatment (Biofield Energy Healing Treatment) showed the significant impact on the isotopic abundance ratios and mass peak intensities of metronidazole. The LC-MS spectra of both the samples of metronidazole at the retention time (Rt) 2.61 minutes exhibited the mass of the protonated molecular ion peak at m/z 172 M+H+ (calculated for C6H10N3O3+, 172.07). The LC-MS based isotopic abundance ratio of PM+1/PM (2H/1H or 13C/12C or 15N/14N or 17O/16O) in the Biofield Energy Treated metronidazole was significantly increased by 8.24% compared with the control sample. Thus,13C, 2H, 15N,and17O contributions from (C6H10N3O3)+ to m/z 173 in the Biofield Energy Treated sample were significantly increased compared with the control sample. The GC-MS based isotopic abundance ratio of PM+1/PM in the Biofield Energy Treated metronidazole was significantly increased by 5.92% compared with the control sample. Hence,13C, 2H, 15N, and17O contributions from (C6H9N3O3)+ to m/z 172 in the Biofield Energy Treated sample were significantly increased compared with the control sample. However, the isotopic abundance ratio of PM+2/PM in the Biofield Energy Treated metronidazole was significantly decreased by 18.2% compared with the control sample. Hence,18O contributions from (C6H9N3O3)+ to m/z 173 in the Biofield Energy Treated sample were significantly decreased compared with the control sample. The isotopic abundance ratio of PM+1/PM (2H/1H or 13C/12C or 15N/14N or 17O/16O) and PM+2/PM (18O/16O) in the Biofield Energy Treated metronidazole were significantly altered compared to the control sample. From the results it can be hypothesized that the changes in isotopic abundance could be due to changes in nuclei possibly through the interference of neutrino particles via the Trivedi Effect® - Consciousness Energy Healing Treatment. The new form of Biofield Energy Treated metronidazole would be better designing novel pharmaceutical formulations that might offer better therapeutic response against bacterial and protozoal infection in the vagina (bacterial vaginosis), stomach (giardiasis, trichomoniasis, pseudomembranous colitis), joints (pelvic inflammatory disease), liver, skin, brain, and respiratory tract, aspiration pneumonia, rosacea, intra-abdominal infections, lung abscess, fungating wounds, periodontitis, amoebiasis, oral infections, etc.
Acknowledgements
The authors are grateful to Sophisticated Instrumentation Centre for Applied Research & Testing (SICART) India, Trivedi Science, Trivedi Global, Inc., Trivedi Testimonials, and Trivedi Master Wellness for their assistance and support during this work.
References
- 3.Joesoef M R, Schmid G P, Hillier S L. (1999) Bacterial vaginosis: Review of treatment options and potential clinical indications for therapy. , Clin Infect Dis 1, 57-65.
- 4.Shennan A, Crawshaw S, Briley A, Hawken J, Seed P et al. (2006) A randomised controlled trial of metronidazole for the prevention of preterm birth in women positive for cervicovaginal fetal fibronectin: The PREMET Study. , BJOG 113, 65-74.
- 5.Zar F A, Bakkanagari S R, Moorthi K M, Davis M B. (2007) A comparison of vancomycin and metronidazole for the treatment of Clostridium difficile-associated diarrhea, stratified by disease severity. , Clin Infect Dis 45, 302-307.
- 6.Barr S C, Bowman D D, Heller R L. (1994) Efficacy of fenbendazole against giardiasis in dogs. , Am J Vet Res 55, 988-990.
- 8.Kling P A, Burman L G. (1989) Serum and tissue pharmacokinetics of intravenous metronidazole in surgical patients. , Acta Chir Scand 155, 347-350.
- 10. (2018) . https://pubchem.ncbi.nlm.nih.gov/compound/metronidazole#section=Solubility. Retrieved on 14 April
- 11.Chereson R. (2009) Bioavailability, bioequivalence, and drug selection. In: Makoid CM, Vuchetich PJ, Banakar UV (Eds) Basic pharmacokinetics (1stEdn). , London
- 12.Trivedi M K, Patil S, Shettigar H, Singh R, Jana S. (2015) An impact of biofield treatment on spectroscopic characterization of pharmaceutical compounds. , Mod Chem 3, 159.
- 13.Trivedi M K, Patil S, Shettigar H, Bairwa K, Jana S. (2015) Spectroscopic characterization of biofield treated metronidazole and tinidazole. , Med Chem 5, 340-344.
- 14.Trivedi M K, TRR Mohan. (2016) Biofield energy signals, energy transmission and neutrinos. , American Journal of Modern Physics 5, 172-176.
- 15.Rubik B. (2002) The biofield hypothesis: Its biophysical basis and role in medicine. , J Altern Complement Med 8, 703-717.
- 17.Rivera-Ruiz M, Cajavilca C, Varon J. (2008) Einthoven's string galvanometer: The first electrocardiograph. , Tex Heart Inst J 35, 174-178.
- 18.Rubik B, Muehsam D, Hammerschlag R, Jain S. (2015) Biofield science and healing: history, terminology, and concepts. , Glob Adv Health Med 4, 8-14.
- 20.Barnes P M, Bloom B, Nahin R L. (2008) Complementary and alternative medicine use among adults and children: United States. , Natl Health Stat Report 12, 1-23.
- 21.Trivedi M K, Mohan R, Branton A, Trivedi D, Nayak G et al. (2015) Evaluation of atomic, physical, and thermal properties of bismuth oxide powder: an impact of biofield energy treatment. , American Journal of Nano Research and Applications 3, 94-98.
- 22.Trivedi M K, Branton A, Trivedi D, Nayak G, Gangwar M et al. (2015) Agronomic characteristics, growth analysis, and yield response of biofield treated mustard, cowpea, horse gram, and groundnuts. , International Journal of Genetics and Genomics 3, 74-80.
- 23.Trivedi M K, Branton A, Trivedi D, Nayak G, Mondal S C. (2016) Antimicrobial Susceptibility of Proteus mirabilis:. , Impact of Biofield Energy Treatment. J Microb Biochem Technol 8, 025-029.
- 24.Trivedi M K, Patil S, Shettigar H, Gangwar M, Jana S. (2015) in vitro evaluation of biofield treatment on cancer biomarkers involved in endometrial and prostate cancer cell lines. , J Cancer Sci Ther 7, 253-257.
- 25.Schellekens R C, Stellaard F, Woerdenbag H J, Frijlink H W, Kosterink J G. (2011) Applications of stable isotopes in clinical pharmacology. , Br J Clin Pharmacol 72, 879-897.
- 26.Weisel C P, Park S, Pyo H, Mohan K, Witz G. (2003) Use of stable isotopically labeled benzene to evaluate environmental exposures. , J Expo Anal Environ Epidemiol 13, 393-402.
Cited by (2)
This article has been cited by 2 scholarly works according to:
Citing Articles:
B. Ivanova, M. Spiteller - Analytical Chemistry Letters (2022) Semantic Scholar
Caio Cesar Candido, Henrique Vieira Reis Silva, B. Zavan, M. Ionta, M. Barbosa et al. - Journal of Inorganic Biochemistry (2022) Semantic Scholar
